Okablowanie strukturalne
Emiter Net to nowoczesny System okablowania strukturalnego, umożliwiający stworzenie pełnej sieci logicznej przy korzystaniu z akcesoriów Emiter i Emiter Net.
Wprowadzanie tego systemu zakończyliśmy w 2002 roku. Klient ma wybór pomiędzy serią standard i serią certyfikowaną, na którą może uzyskać certyfikat 25-letniej Gwarancji Systemowej.
System Okablowania Strukturalnego EmiterNet został w 2008 roku po raz kolejny oceniony jako najlepszy krajowy system okablowania strukturalnego i czwarty w klasyfikacji globalnej (związanych z miedzianym okablowaniem strukturalnym) w Polsce w rankingu czasopisma Net World, notując jednocześnie znaczne zmniejszenie dystansu do konkurencji.
W obecnej chwili systemy kanałów kablowych EMITER oraz okablowania strukturalnego EMITER NET złożone są z setek różnych produktów i obejmują elementy pozwalające montować osprzęt elektryczny i teleinformatyczny w obowiązujących na rynku standardach.
Firma Emiter została odznaczona tytułem laureata oraz zdobyła brązowe godło QI FORUM JAKOŚCI w kategorii QI PRODUKT – produkt najwyższej jakości w Programie Forum Jakości Quality International 2009. Bardzo wysoko oceniono jakość naszych kanałów kablowych z PCV oraz systemu okablowania strukturalnego Emiter Net.
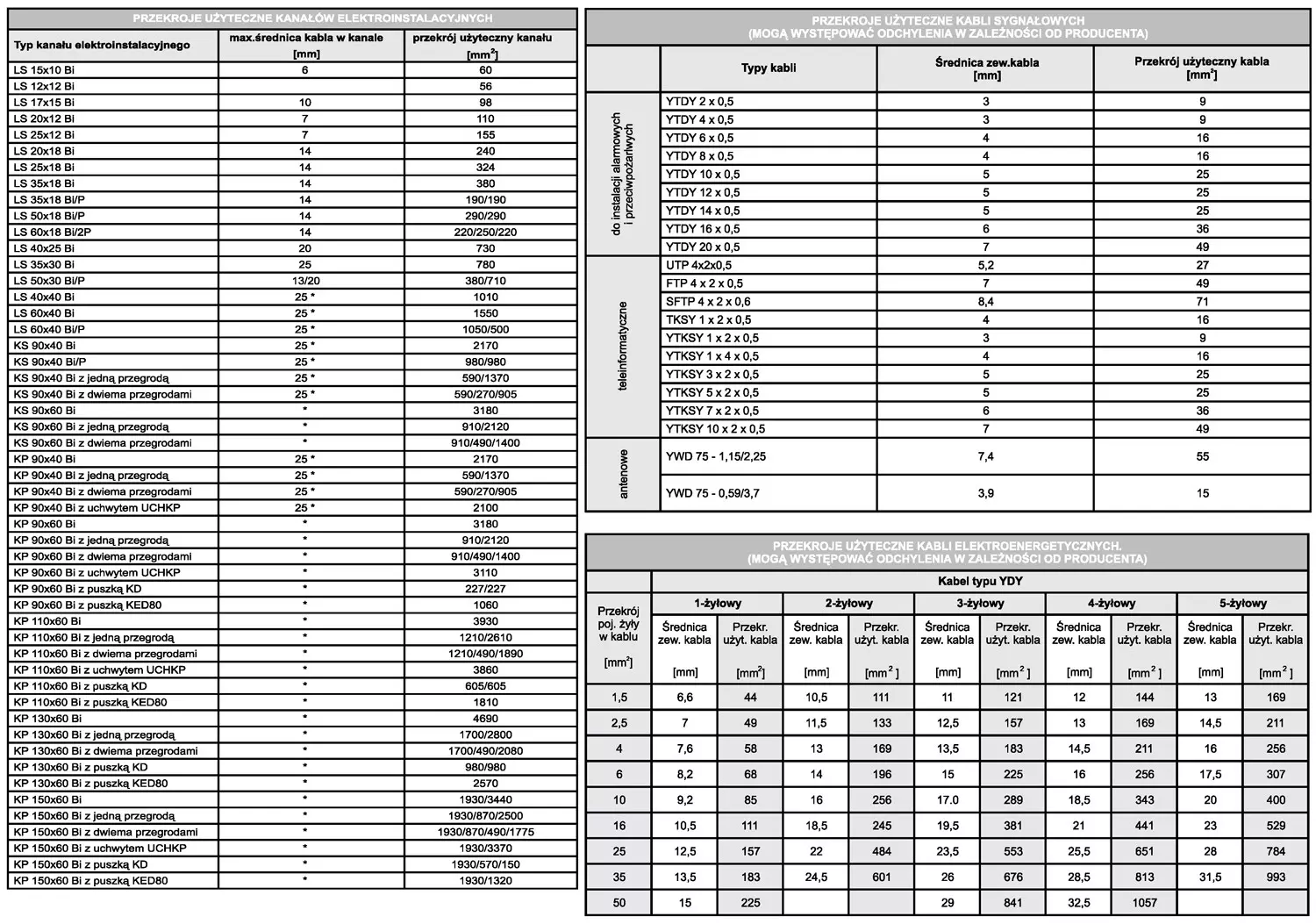
Przekrój użyteczny kanałów został tak obliczony, aby zapewnić swobodne układanie przewodów oraz minimalną przestrzeń dla wentylacji. Natomiast nie uwzględniono miejsca na dodatkowe elementy jak kostki połączeniowe itp. W takim przypadku oraz w razie konieczności zapewnienia możliwości rozbudowy sieci kablowej należy zwiększyć obliczony łączny przekrój użyteczny wszystkich kabli o współczynnik bezpieczeństwa.
Uwaga: Ze względu na grupowanie większej ilości kabli w kanale oraz ograniczoną wentylację, należy przy doborze kabli zmniejszyć wartość obciążalności długotrwałej. Korzystny także może być wybór większego kanału, niż wynikałoby to z przedstawionych tabel, w których nie uwzględniono wpływu ograniczonej wentylacji.
Przy wykorzystaniu elementów okablowania strukturalnego systemu EmiterNet z serii certyfikowanej klienci mają możliwośc uzyskania certyfikatu 25-letniej gwarancji systemowej.
Firma Emiter gwarantuje, że w czasie trwania Gwarancji, instalacja teletechniczna oparta na komponentach rekomendowanych przez przedsiębiorstwo Emiter, będzie działać poprawnie w zakresie parametrów określonych w normach, dla których została zaprojektowana i wykonana.
Gwarancja Systemowa obejmuje okres 25 lat od daty jej udzielenia.
Gwarancja Produktowa obejmuje tylko elementy Systemu Okablowania Strukturalnego Emiter Net (seria certyfikowana) i ważna jest przez okres 5 lat od daty zakupienia elementu(ów). Pozostałe niewymienione elementy podlegają odrębnym gwarancjom.
Instalacja niskoprądowa, która ma zostać objęta Gwarancją Systemową musi być zaprojektowana zgodnie z obowiązującymi normami, w szczególności spełnienia parametrów okablowania miedzianego dla klasy D/E/Ea lub kategorii 5/6/6a albo światłowodowego (optycznego) klasy OF-300/OF-500/OF-2000/OF-5000/OF-10000 lub kategorii OM1/OM2/OM3/OS1/OS2, a prace przy budowie instalacji muszą być nadzorowane przez Certyfikowanego Instalatora.
Program gwarancji systemu okablowania strukturalnego EmiterNet
EmiterNet to nowoczesny System Okablowania Strukturalnego, umożliwiający stworzenie pełnej sieci logicznej przy korzystaniu z akcesoriów Emiter i EmiterNet.
Wprowadzanie tego systemu zakończyliśmy w 2002 roku. Klient ma wybór pomiędzy serią standard i serią certyfikowaną, na którą może uzyskać certyfikat 25-letniej Gwarancji Systemowej.
System Okablowania Strukturalnego EmiterNet został w 2008 roku po raz kolejny oceniony jako najlepszy krajowy system okablowania strukturalnego i czwarty w klasyfikacji globalnej (związanych z miedzianym okablowaniem strukturalnym) w Polsce w rankingu czasopisma Net World, notując jednocześnie znaczne zmniejszenie dystansu do konkurencji.
W obecnej chwili systemy kanałów kablowych Emiter oraz okablowania strukturalnego EmiterNet złożone są z setek różnych produktów i obejmują elementy pozwalające montować osprzęt elektryczny i teleinformatyczny w obowiązujących na rynku standardach.
Firma Emiter została odznaczona tytułem laureata oraz zdobyła brązowe godło QI FORUM JAKOŚCI w kategorii QI PRODUKT – produkt najwyższej jakości w Programie Forum Jakości Quality International 2009. Bardzo wysoko oceniono jakość naszych kanałów kablowych z PCV oraz systemu okablowania strukturalnego EmiterNet.
Przy produkcji komponentów Systemu Okablowania Strukturalnego EmiterNet największe znaczenie ma kontrola jakości. Zarówno przy doborze materiałów do produkcji, w jej trakcie oraz po zakończeniu, stosowana jest rygorystyczna procedura badań i testów potwierdzjących utrzymanie jakości na wymaganym, najwyższym poziomie. Wszystkie elementy Systemu Okablowania Strukturalnego EmiterNet testowane są pod kątem spełnienia odpowiednich norm branżowych, w szczególności PN-EN 50173, bądź ISO 11801, a także według wewnętrzych procedur produkcyjnych. Na przykład w 2012 roku zakupiona została specjalna maszyna do badań grubości i jakości powłok galwanicznych, z których najważniejszym jest badanie pokrycia warstwą złota Au. Dzięki temu już na etapie doboru dostawców możemy wyeliminować niskiej jakości półprodukty, jak również zagwarantować, że styki RJ45 stosowane w gniazdach i panelech serii certyfikowanej, pokrywanej standardowo 50 um warstwą Au, zapewnią najwyższe parametry kanału logicznego w całym okresie rozszerzonej 25-letniej Gwarancji Systemowej.
Potwierdzeniem jakości Systemu Okablowania Strukturalnego EmiterNet są także certyfikaty z badań niezależnych laboratoriów badawczych np. Instytutu Łączności, który posiada akredytację Polskiego Centrum Badań i Akredytacji.
Stosując System Okablowania Strukturalne EmiterNet w budynkach uzyskujemy dwojakie korzyści: jedne wynikające z samych cech okablowania strukturalnego i drugie wynikające z cech konkretnych produktów z oferty firmy Emiter.
System Okablowania Strukturalnego EmiterNet umożliwia i/lub zapewnia:
- transmisję danych lub głosu w ramach jednego spójnego i modularnego systemu, zapewniając integrację różnych urządzeń, zarówno aktualnie, jak i w przyszłości
- utworzenie globalnego lub lokalnego systemu oraz łatwość i eleastyczność jego modyfikacji
- prostotę w zarządzaniu i diagnostyce, dzięki hierarchicznej strukturze i połączeniom punkt-punkt, a tym samym niskie koszty eksploatacji
- dynamiczne i szybkie dołączanie nowych urządzeń, jak również proste i bezkolizyjne przenoszenie urządzeń końcowych
- zaprojektowanie instalacji teletechnicznych w oparciu o media miedziane i/lub światłowodowe
- doskonałe parametry łączeniowe zgodne z międzynarodowymi normami, w szczególności PN-EN 50173 lub ISO 11801
- kompatybilność rozwiązań z Systemem Kanałów Emiter oraz innymi komponentami montażowymi, np. puszkami podłogowymi, mediaportami lub kolumnami aluminiowymi
- kompatybilność z rozwiązaniami firm trzecich zgodnie ze standardem 45×45 (22,5×45)
- wysoką jakość i estetykę
- wysoką funkcjonalność, łatwość i szybkość montażu (gniazda beznarzędziowe, modularność, dodatkowe wyposażenie w cenie podstawowej konfiguracji szaf)
Podstawową normą definiującą zasady budowy okablowania strukturalnego jest norma PN-EN 50173 wraz z normami powiązanymi np. PN-EN 50174. Norma polska/europejska bazuje na normie międzynarodowej ISO 11801. Inną normą stosowaną w budowie okablowania strukturalnego jest norma amerykańska EIA/TIA 568B
Poniżej dostępna jest biblioteka rysunków CAD elementów systemu okablowania strukturalnego Emiter Net. W bazie dostępne są m.in. rysunki: szafy teleinformatyczne rack 19′ stojące i wiszące, akcesoria do szaf, panele krosowe wyposażone i patchpanele modularne, panele światłowodowe, organizatory kabli, gniazda zasilające DATA, gniazda teleinformatyczne RJ45, obudowy natynkowe i ramki montażowe, telekomunikacyjne skrzynki mieszkaniowe, itd.
Z jej pomocą w prosty i szybki sposób można stworzyć projekty instalacji niskoprądowych, uwzględniając projektowanie wyposażenia szaf teleinformatycznych oraz rozmieszczenie punktów PEL.
Emiter_baza_CAD_2D_2018.02.12.zip
Lista programów CAD kompatybilnych z bazą rysunków CAD produktów firmy EMITER:
AutoCAD
A9CAD
DRAFTSIGHT
Double CAD XT 5.0
Powyższa lista nie wyczerpuje wszystkich programów – te zostały przetestowane. Niektóre z w/w są programami bezpłatnymi.
| BANKI | |
|---|---|
| Bank Przemysłowo Handlowy S.A | Kędzierzyn Koźle |
| Polska Kasa Oszczędności S.A. | Tychy |
| BIUROWCE | |
|---|---|
| Biurowiec Phillips | Warszawa |
| Biurowiec Telekomunikacja Polska S.A. | Warszawa |
| Biurowiec KAMSOFT | Katowice |
| Biurowiec OBI | Warszawa |
| FIRMY | |
|---|---|
| Adescom | Katowice |
| Browar Obałoń | Kijów |
| Centrum Meblowe Hermes | Kędzierzyn Koźle |
| Energoaparatura S.A. | Katowice |
| Hewlett Packard | Kraków Rynek |
| Salon Volksvagen | Rybnik |
| Stacje paliw ESJA | Kędzierzyn, Większyca |
| Stacje paliw PKN ORLEN | Cała Polska |
| Telefonia Zachód | Szczecin |
| Wytwórnia podłoża do hodowli pieczarek | Pawłowiczki, Piasek |
| Zakłady Chemiczne | Blachownia |
| Zakłady Azotowe | Kędzierzyn Koźle |
| Zakłady Koksownicze | Zdzieszowice |
| Zarząd Główny Family Frost | Tychy |
| Elektrownia Łaziska | Łaziska Górne |
| OBIEKTY HANDLOWE | |
|---|---|
| Ahold Hypernowa | Sosnowiec |
| Auchan | Katowice |
| Auchan | Częstochowa |
| Castorama, Auchan wykonane przez Imeka | Jaworzno |
| HIT | Bytom |
| IKEA | Warszawa |
| Real | Radom |
| Kaufland | Polska |
| OBI | Lubin |
| Leroy Merlin | Kłodzko |
| INSTYTUCJE NON PROFIT | |
|---|---|
| Gminny Ośrodek Kultury | Korzenna |
| Miejski Ośrodek Pomocy Społecznej | Opole |
| Miejski Ośrodek Pomocy Społecznej | Kędzierzyn Koźle |
| Miejski Ośrodek Pomocy Społecznej | Strzelce Opolskie |
| Miejski Ośrodek Pomocy Społecznej | Paczków |
| Miejski Ośrodek Pomocy Społecznej | Grodków |
| Muzeum Oświęcim-Brzezinka | Oświęcim |
| Zabytkowy kościółek | Istebna |
| Zakład Opieki Zdrowotnej MONAR | Zbicko |
| Stacja badawcza | Spitsbergen Biegun Północny |
| OBIEKTY UŻYTECZNOŚCI PUBLICZNEJ | |
|---|---|
| Akademiki – Akademia Medyczna | Kraków |
| Centrum Kształcenia Ustawicznego (Projekt Banku Światowego) | Częstochowa |
| Górnośląska Wyższa Szkoła Zarządzania i Języków Obcych | Katowice |
| Instytut Nauki o Ziemi przy Uniwersytecie Śląskim | Sosnowiec |
| Gimnazjum | Toszek |
| Poczta Główna | Katowice |
| Poczta Główna | Rybnik |
| Poczta Główna | Częstochowa |
| Poczta Główna | Opole |
| Poczta | Kraków ul. Starowiślana |
| Politechnika Poznańska | Poznań |
| Szkoła Podstawowa nr 12 (Projekt Banku Światowego) | Kędzierzyn Koźle |
| Szpitale wykonane CRIMS SYSTEM | Cała Polska |
| Instytut Dializy | Gliwice |
| Akademia Medyczna | Poznań |
| Centrum Kształcenia Ustawicznego (Projekt Banku Światowego) | Pszczyna |
| Instytut Zootechniki | Kraków |
| IV Liceum Ogólnokształcące | Rybnik Chwałowice |
| ZSZ nr 1 | Świętochłowice |
| Zakład Opieki Zdrowotnej MONAR | Zbicko |
| Starostwo | Cieszyn |
| OBIEKTY SPORTOWE | |
|---|---|
| Hala Sportowa | Włocławek |
| Lodowisko | Nowy Targ |
| Lodowisko | Oliwia Gdańsk |
| MOSiR Hala Sportowa | Zabrze |
| Lodowisko Oliwia | Gdańsk |
| URZĘDY | |
|---|---|
| Areszt Śledczy | Kraków ul. Montelupich |
| Kasa Chorych | Warszawa |
| Komenda Wojewódzka Policji | Katowice |
| Komenda Powiatowa Policji | Nowy Targ |
| Komisariat Policji | Gliwice, ul. Warszawska |
| Powiatowe Urzędy Pracy | Województwo Śląskie |
| Urząd Miasta | Jaworzno |
| Urząd Miasta | Katowice |
| Wojewódzka Komenda Policji | Kraków |
| Zakład Ubezpieczeń Społecznych | Sosnowiec |
| Urząd Skarbowy | Olsztyn |
| Urząd Skarbowy | Bytów |
| Ambasada Królestwa Danii | Warszawa |
| Ministerstwo Gospodarki | Warszawa |
| Komenda Powiatowa Policji | Cieszyn |
| Komenda Miejska Policji | Bielsko-Biała |
| KRUS | Olkusz |
| KRUS | Rybnik |
| KRUS | Gliwice |
| Powiatowy Urząd Pracy | Siemianowice Śl. |
| Urząd Wojewódzki | Katowice |
FAQ
Okablowanie strukturalne oznacza system okablowania telekomunikacyjnego, umożliwiający realizację określonej konfiguracji połączeń na miarę aktualnych potrzeb, ale z możliwością jego przyszłej rozbudowy i rekonfiguracji. Standard okablowania strukturalnego definiują międzynarodowe normy, w szczególności norma polska PN/EN-50173. Okablowanie strukturalne tworzy infrastrukturę połączeń podstawowych elementów sieci teleinformatycznej.
Na system składają się kable teleinformatyczne, przyłącza komunikacyjne, szafy teleinformatyczne wraz z wyposażeniem ( panele krosowe, organizatory kabli, przełącznice światłowodowe,…), gniazda, wtyki, adaptery, krosownice i komponenty elektroniczne. Idea okablowania strukturalnego sprowadza się do budowy systemu, który jest niezależny od zastosowanych aplikacji i umożliwia przesyłanie danych, głosu, wideo, tekstu oraz innych informacji z wykorzystaniem urządzeń różnych producentów. W ramach okablowania strukturalnego wyróżniamy trzy podsystemy okablowania:
- podsystem okablowania szkieletowego- kampusowego
- podsystem okablowania szkieletowego pionowego
- podsystem okablowania poziomego
Pod tymi pojęciami ukrywają się przewody i kable stosowane w systemie okablowania strukturalnego. Pomimo stosowania w nazwie określeń “poziomy”, czy “pionowy”, nie określają one fizycznego przebiegu przewodów, czyli okablowanie poziome nie oznacza, że jest ono układane “poziomo”. Okablowanie poziome, to część okablowania strukturalnego biegnąca od punktu dystrybucyjnego (pośredniego lub głównego) do gniazda abonenckiego (przyłącza telekomunikacyjnego). Okablowanie pionowe, to ta część okablowania strukturalnego, która łączy punkty dystrybucyjne pomiędzy sobą np. główny punkt dystrybucyjny i pośrednie punkty dystrybucyjne.
Punkt dystrybucyjny to element systemu okablowania strukturalnego, w którym zbiegają się przewody z okablowania poziomego, pionowego lub kampusowego. Składa się on najczęściej z szafy teleinformatycznej (teletechnicznej) oraz zespołu komponentów służących do łączenia kabli (panele krosowe, kable krosowe). Ponadto powinien być wyposażony w przyłącze sieci energetycznej, do zasilenia urządzeń aktywnych stosowanych w sieci.
Każdy system okablowania strukturalnego zawiera przynajmniej jeden punkt dystrybucyjny.
Pozostałe określenia to skróty:
GPD lub MDF – Główny Punkt Dystrybucyjny (Main Distribution Frame)
PPD lub IDF lub FDF- Pośredni Punkt Dystrybucyjny (Indirect Distribution Frame) lub Piętrowy Punkt Dystrybucyjny (Floor Distribution Frame)
W normie PN/EN-50173 używane są określenia:
CD – Campus Distributor (Kampusowy Punkt Dystrybucyjny)
BD – Building Distributor (Budynkowy Punkt Dystrybucyjny)
FD – Floor Distributor (Piętrowy Punkt Dystrybucyjny)
Szafy teleinformatyczne oraz sprzęt przeznaczony do montażu w szafach (tzw. rackach) mają znormalizowane wymiary. Wysokość sprzętu podaje się w jednostkach “U”, stąd też i wysokość szaf teleinformatycznych podaje się w jednostkach “U” i określa ona ile urządzeń o wysokości 1U można umieścić wewnątrz szafy na wysokość. Przed literą “U” podaje się cyfrę lub liczbę określającą wysokość szafy rack np. 6U oznacza, że szafa może pomieścić 6 urządzeń o wysokości 1U lub 3 urządzenia o wysokości 2U lub tp.
1U oznacza wysokość 44,5 mm (13/4 cala).
Standardowym wyposażeniem szafy 19’ rack są:
- panel krosowy (patchpanel), w których terminowane są przewody teleinformatyczne (miedziane UTP/FTP, telefoniczne, światłowodowe)
- panele porządkowe, organizery kabli
- patchcordy (przewody krosowe)
- listwa zasilająca
- panel wentylacyjny (19″ lub dachowo- podłogowy)
- półki
- panele zaślepiające
- oświetlenie szafy
Do budowy centralnego punkt okablowania strukturalnego albo generalnie punktów dystrybucyjnych, wykorzystuje się szafy rack teletechniczne. W zależności od potrzeb stosuje się szafki wiszące niedzielone lub dzielone albo szafy rackowe stojące, z których najbardziej popularne są szafy o wysokości 42U.
Najpopularniejszym przewodem stosowanym w okablowaniu strukturalnym jest tzw. skrętka nieekranowana UTP; nowe oznaczenie przewodów tego typu to U/UTP. Poszczególne przewody są kodowane barwnie i mają najczęściej średnicę ok. 0,5mm (przekrój 0,22 mm2).
Innym popularnym kablem jest skrętka ekranowana FTP, w której wszystkie pary przewodów są otoczone ekranem wykonanym z folii aluminiowej. Czasami tego typu przewody mylnie są oznaczane jako STP. Nowe oznaczenie przewodów tego typu to F/UTP.
W wyższych kategoriach niż 5e, szczególnie 6A i 7 stosuje się przewody S/FTP, w których poszczególne pary przewodów są ekranowane oplotem z foli aluminiowej, a wszystkie pary przewodów dodatkowo oplotem z siatki miedzianej.
Do połączeń pomiędzy gniazdem komputerowym, a przełącznikiem (switchem) służy kabel krosowy lub przyłączeniowy. W kablu tym wykonane są połączenia proste przewodów, czyli pin nr 1 jednego wtyku jest połączony z pinem nr 1 drugiego wtyku itd., czyli
1 ——1
2 ——2
…
8 —–8
Jest to najpopularniejszy typ kabla.
W przypadku konieczności połączenia dwóch urządzeń tego samego typu, czyli np. portów w dwóch przełącznikach lub dwóch komputerów pomiędzy sobą powinien być stosowany kabel tzw. skrosowany. W tym kablu połączenie pinów jest następujące:
1 —– 3 1 —– 3
2 —– 6 2 —– 6
3 —– 1 3 —– 1
4 —– 5 lub 4 —– 7 (w przypadku połączenia Gigabit Ethernet)
5 —– 4 5 —– 8
6 —– 2 6 —– 2
7 —– 8 7 —– 4
8 —– 7 8 —– 5
Aktualnie jednak większość urządzeń aktywnym ma automatyczne wykrywanie sekwencji połączeń i stosowanie kabli skrosowanych nie jest konieczne – urządzenie po wykryciu połączenia kablem krosowym automatycznie przełącza typ gniazda na skrosowane.
Wszystkie elementy stosowane w okablowaniu strukturalnym ekranowanym (panele krosowe ekranowane i gniazda RJ45 ekranowane) posiadają specjalne złącza do podłączenia ekranu z przewodów FTP (Kabel FTP lub STP posiada dodatkową żyłę, która posiada połączenie galwaniczne z ekranem. Żyłę tę terminuje się w panelu do odpowiedniego złącza LSA lub do obejmy połączonej z obudową panela, natomiast w gnieździe do specjalnej obejmy).
W tych złączach należy zaterminować ekrany przewodów FTP (STP, S/FTP itp.). Dodatkowo panele krosowe posiadają złącze do uziemienia wszystkich ekranów zaterminowanych kabli – ekrany przewodów ekranowanych należy podłączyć do połączeń wyrównawczych budynku. Wymagania precyzują normy PN/EN-50174 oraz PN/EN 50310. Połączenia ekranów powinny być połączeniami o niskiej impedancji i powinny być zabezpieczone przed korozją.
Ekran musi być przynajmniej z jednej strony podłączony do uziemienia. Brak połączenia ekranu z uziemieniem sprawi, że kabel FTP lub STP będzie się zachowywał gorzej niż kabel UTP w sieci tej samej klasy.
Warunki prowadzenia przewodów okablowania strukturalnego względem sieci energetycznej określone są w normie PN/EN- 50174-2. W poprzedniej wersji normy zależały one od tego jaki typ okablowania strukturalnego oraz okablowania elektrycznego został zaprojektowany lub był wykonywany (nieekranowany lub ekranowany i dotyczy to zarówno okablowania logicznego jak i elektrycznego) oraz czy i jak przewody są od siebie separowane. Na przykład jeśli mamy okablowanie UTP, prowadzone równolegle ze zwykłymi kablami elektrycznymi (a więc nie ekranowanymi) w standardowym korycie kablowym PCV z przegrodą plastikową (separatorem), to minimalny dystans wynosił 200mm (czyli w tym przypadku praktycznie należałoby je ułożyć w osobnych korytkach kablowych. W przypadku zastosowania ekranowanych kabli logicznych, to wystarczyło aby ten dystans wynosił 50 mm.
Po aktualizacji normy PN/EN-50174-2 odległości pomiędzy okablowaniem logicznym i elektrycznym (minimalna separacja) zależą od klasyfikacji rozdzielania oraz współczynnika mocy kabla i oblicza się je z wykorzystaniem odpowiednich tabel i wzorów.
Okablowanie ekranowane jest droższe w instalacji i trochę bardziej wymagające uwagi niż okablowanie nieekranowane. Ocenia się, że wykonanie instalacji ekranowanej zwiększa całkowity koszt o około 50%. Okablowanie ekranowane ma jednak niezaprzeczalne zalety: zmniejsza emisję elektromagnetyczną na zewnątrz sieci i zwiększa odporność na zakłócenia, przy spełnieniu rygorystycznego warunku, jakim jest poprawne zakańczanie kabli i uziemianie ekranu kabla ( skrętki) oraz paneli krosowych i całych punktów dystrybucyjnych. Dlatego też w takich miejscach jak szpitale, stacje benzynowe, hale przemysłowe itp. przede wszystkim powinno być stosowane okablowanie ekranowane. Inne rozwiązanie to wykonanie okablowania światłowodowego, które jest całkowicie odporne na zakłócenia elektromagnetyczne i jednocześnie nie generuje takich zakłóceń.
Odpowiedź na to pytanie nie jest jednoznaczna. W ogólnym rozumieniu system okablowania ma służyć różnym usługom w sieci teleinformatycznej zgodnie z aktualnymi wymaganiami, ale także takimi, które pojawią się w pewnej przyszłości, a których aktualnie wymagań nie znamy. Z tego punktu widzenia im lepsze parametry kanału, czyli wyższa kategoria okablowania, tym większe prawdopodobieństwo, że w przyszłości kiedy pojawią się nowe aplikacje, będzie można z nich korzystać bez wymiany okablowania.
Ale często to pytanie stawiają osoby, które budują okablowanie strukturalne WYŁĄCZNIE przeznaczone dla sieci komputerowej i telefonicznej. Jeśli przyjąć takie wąskie kryteria, to praktycznego efektu zastosowania kategorii 6 zamiast kategorii 5e nie będzie widać. W sieciach komputerowych aktualnie najbardziej popularne jest stosowanie standardu 100Base-TX o maksymalnej teoretycznej przepływności 100Mbit/s lub 1000Base-TX o maksymalnej teoretycznej przepływności 1000Mbit/s (1Gb/s) i mogą one być używane zarówno w sieci wykonanej w standardzie 6 jak i 5e.
Określenie 100Mbit lub 1 Gbit, to określenia dotyczące przepustowości sieci. Często pod tymi pojęciami rozumie się sieci komputerowe pracujące w standardzie 100Base-T lub 1000Base-T.
Natomiast kategoria 5e lub 6 określa standard okablowania strukturalnego.
Aktualnie najpopularniejszym standardem okablowania strukturalnego jest standard klasy D (wg normy PN/EN-50173) lub kategorii 5e (wg TIA/EIA 568B). Jednak coraz więcej okablowania wykonywanego jest w kategorii 6 lub 6A.
Warto. Okablowanie strukturalne nie wykonuje się do pracy na rok, czy dwa, ale na wiele lat, a raz wykonanej instalacji nikt nie będzie wymieniał na nową po kilku latach, kiedy wzrosną wymagania względem pracy w sieci. Najbardziej uciążliwa jest wymiana przewodów i kabli, dlatego też w naszym systemie EmiterNet proponujemy kable kategorii 7.
Kable o wyższych parametrach niż przewidują normy na okablowanie strukturalne na ogół są kablami, których parametry określił producent wg własnych warunków technicznych (branżowych, wewnętrznych). Oznacza to, że nie ma żadnej gwarancji, że te “lepsze” parametry zostaną wykorzystane w okablowaniu strukturalnym. Np. kategoria 6 przewiduje kable do 250MHz. Na rynku można spotkać kable podawane przez producentów jako 350MHz, a nawet 500MHz. Takie informacje mają zasugerować, że są to kable o parametrach dużo lepszych niż standardowe. Natomiast jeśli okablowanie będzie wykorzystywane do pracy w standardzie kat.6 (np. z protokołami 1000Base-T), to te “lepsze” parametry w ogóle nie zostaną wykorzystane. Z kolei na takim kablu nie można pracować w wyższej kategorii 6A (bo gdyby tak było, to producent podawałby, że jest to kabel kategorii 6A, a nie 6), więc taki zabieg ma tylko czysto marketingowe znaczenie (i na ogół wyższą cenę).
Jeśli chcielibyśmy mieć kabel o rzeczywiście lepszych parametrach, to warto zamiast kabla kat. 6 ułożyć w ściany kabel kategorii 6A lub 7. Kabel o lepszych parametrach zgodnych z wyższą kategorią będzie można wykorzystać w przyszłości podczas modernizacji sieci.
Światłowody dzielimy ze względu na zastosowany typ włókna światłowodowego lub ze względu na środowisko, w którym może być układany.
Włókna światłowodowe mogą być albo:
- jednomodowe oznaczane literą J lub E, np 8J (8 włókien jednomodowych), najczęściej stosowane w telekomunikacji; najbardziej popularne są z włóknami 9/125 um i w przypadku braku informacji o średnicy rdzenia/płaszcza włókna to takie są przyjmowane domyślnie; najczęściej stosowane światłowody są zgodne ze specyfikacją ITU 652.d
- wielomodowe (multimod), aktualnie produkowany typ to tzw. gradientowe, stąd można się spotkać z oznaczeniami MM lub G, np. 8G (8 włókien gradientowych); w tym przypadku jednak jest konieczne podanie średnicy rdzenia/płaszcza włókna, gdyż aktualnie są stosowane albo włókna 50/125 um o specyfikacji OM2 (najbardziej popularne), OM3 lub OM4, albo starszy typ 62,5/125 um o specyfikacji OM1; jeśli nie ma podanej innej specyfikacji dla włókna 50/125, to najczęściej przyjmuje się, że jest to typ OM2.
Ze względu na środowisko, w którym może być stosowany, światłowody dzielimy na:
- zewnętrzne, przeznaczone do stosowania poza budynkami, oznaczane np. Z- lub A-
- wewnętrzne, przeznaczone do stosowania w instalacjach wewnątrzbudynkowych, wykonane najczęściej w powłoce zewnętrznej LSZH, oznaczane np. W- lub I-
- uniwersalne, możliwe do stosowania zarówno w instalacjach wewnątrzbudynkowych jak i zewnętrznych (w kanalizacji pierwotnej lub wtórnej), oznaczane ZW- lub U- .
Tor światłowodowy składa się ze światłowodu zakończonego złączami światłowodowymi. Najczęściej w pojedynczym torze należy uwzględnić 2 włókna światłowodowe, po jednym odbywa się nadawanie, po drugim odbiór sygnału. Istnieją jednak technologie, które mogą nadawać i odbierać sygnał na jednym włóknie światłowodowym.
Przełącznica światłowodowa składa się z obudowy (szafka światłowodowa rozdzielcza naścienna lub skrzynka panelowa 19″), płyty czołowej lub rozdzielczej (niewyposażonej), kasety światłowodowej kompletnej oraz adapterów światłowodowych.
Dodatkowymi elementami używanymi w instalacjach światłowodowych z wykorzystaniem przełącznic światłowodowych są także pigtaile i patchcordy światłowodowe (kable krosowe światłowodowe).
Do połączeń światłowodowych w okablowaniu pionowym pomiędzy dwoma punktami dystrybucyjnymi powinno się stosować minimum 4 włókna światłowodowe, a zalecanych jest 6 włókien światłowodowych.
W okablowaniu poziomym maksymalna długość kabli miedzianych (lub światłowodowych) wynosi 100 m, wliczając w to kabel krosowy i przyłączeniowy, co oznacza, że maksymalna długość przewodów pomiędzy panelem krosowym i punktem abonenckim (gniazdem RJ45) nie może przekroczyć 90m.
Natomiast zgodnie z normą suma długości okablowania poziomego wraz z okablowaniem pionowym budynkowym i okablowaniem pionowym kampusowym nie powinna przekraczać 2000 m, co oznacza, że jeśli w okablowaniu pionowym zastosujemy światłowód, to jego długość nie powinna przekraczać 1900m (jako suma okablowania pionowego i kampusowego). W praktyce będzie to jednak zależało od typu zastosowanego światłowodu oraz działającej aplikacji np. dla światłowodu wielomodowego MM 50/125 OM2 i standardu 1000Base-SX maksymalny zasięg wynosi 550m.
W sieciach lokalnych najczęściej stosuje się kable światłowodowe multimodowe gradientowe 50/125 um klasy OM2 lub wyższej (OM3/OM4). Dla klasy OM2 i urządzeń pracujących w standardzie 1000Base-SX maksymalny zasięg sieci to 550 m, a dla klasy OM3 i urządzeń 10G jest to 300 m . Jeśli ten zasięg jest za mały, to należałoby poszukać urządzeń pracujących w standardzie 1000Base-LX, gdzie zasięgi są rzędu 2, 5, 10 i więcej km. Ale wówczas należy ułożyć kabel światłowodowy jednomodowy 9/125.
Można albo zlecić wykonie spawów światłowodowych jakiejś lokalnej firmie (koszty nie są już zbyt wysokie), albo zamówić u nas światłowody tzw. pre-terminowane, czyli od razu zakończone złączami światłowodowymi . Takie światłowody są przystosowane do przeciągania, więc każda firma instalacyjna mająca doświadczenie w okablowaniu strukturalnym bez problemu może ułożyć taki światłowód.
Światłowody stosujemy albo dostarczając sygnał “do biurka”, co raczej czyni się rzadko, ponieważ nawet okablowanie poziome kategorii 5e zapewnia przepustowość 1000Mbit/s, albo częściej w okablowaniu pionowym łączącym punkty dystrybucyjne budynkowe lub międzybudynkowe.
Nie ma jednej normy na okablowanie strukturalne. W naszym kraju najczęściej stosuje się normę europejską PN/EN-50173 i normy powiązane, natomiast spotkać można stosowanie normy międzynarodowej ISO 11801, czy też amerykańskiej TIA/EIA 568B
Jeśli pytanie dotyczy wydajności kanału logicznego przy zastosowaniu różnych typów paneli krosowych, to nie ma to znaczenia – wydajność kanałów w obu typach paneli jest identyczna.
Natomiast cechą paneli modularnych jest możliwość wypełnienia patchpanelu krosowego tylko w części, co może mieć znaczenie ekonomiczne przy małych sieciach (można zastosować panel tylko z kilkoma lub kilkunastoma gniazdami zamiast standardowych 24-portów w panelach z gniazdami PCB, lub też jest możliwość zastosowania gniazd beznarzędziowych.
Z kolei panele z gniazdami PCB najczęściej wybierane są przez doświadczonych instalatorów, a w przypadku zastosowania okablowania ekranowanego zapewniają lepsze i pewniejsze uziemienie ekranów kabli.
Gniazda DATA, to specjalne gniazda zasilające 230V z tzw. kluczem, bez którego nie jest możliwe wpięcie wtyku. Zabezpiecza to przed wpięciem do gniazda niepożądanych odbiorników np. grzejników, czajników elektrycznych itp. Najczęściej są stosowane w dedykowanych instalacjach zasilających do zasilania komputerów.
Jest to skrót od Punkt Elektryczno-Logiczny. Oznacza zespół gniazd np. 2x230V+2xRJ45 w okablowaniu strukturalnym.
Nie, mogą być także montowane w puszkach natynkowych na ścianie lub w kanałach kablowych (korytkach kablowych) prowadzonych na ścianie. Dodatkowo istnieje możliwość montażu gniazd w puszkach lub kolumnach podłogowych, które mogą być umiejscowione w dowolnym miejscu w pomieszczeniu. Kable do tych puszek i kolumn prowadzone są w podłodze technicznej.
Innym ciekawym rozwiązaniem jest montaż gniazd w kolumnach biurkowych, które są umiejscawiane w blatach stołów.
W przypadku przetargów publicznych dotyczących okablowania strukturalnego najczęstszym wymogiem jest, aby instalacja była wykonana przez Certyfikowanego Instalatora. Aby uzyskać status Certyfikowanego Instalatora należy przejść szkolenie. Więcej znajdziecie Państwo w dziale szkoleń.
Tak. Prowadzimy szkolenia z naszego Systemu Okablowania Strukturalnego EmiterNet. Więcej informacji znajdziecie Państwo w części poświęconej szkoleniom.
Tak. Prowadzimy szkolenia z naszego Systemu Okablowania Strukturalnego EmiterNet. Więcej informacji znajdziecie Państwo w części poświęconej szkoleniom.
PVC oznacza materiał, z którego jest wykonany produkt (kanały kablowe pcv) lub izolacja (powłoka) zewnętrzna (kable), czyli polichlorek winylu. Jest to materiał niepalny i może być stosowany w budownictwie.
LS0H (lub LSZH, albo LSHF), to skrót od słów Low Smoke Zero Halogen (lub Low Smoke Halogen Free) i oznacza, że produkt lub izolacja jest wykonana z materiału nie wydzielającego podczas pożaru szkodliwych gazów. Na życzenie inwestora lub z przepisów dotyczących wykonania instalacji może wynikać konieczność stosowania produktów o takiej powłoce.
Na ogół producenci urządzeń aktywnych nie zajmują się takimi zagadnieniami. Zajmują się tym producenci okablowania strukturalnego, w tym nasza firma. Prowadzimy szkolenia dla instalatorów i projektantów dotyczące okablowania EmiterNet, a także służymy doradztwem przy projektach.
Sieć, w którym zastosowano złącza BNC jest prawdopodobnie tzw. siecią 10Base2 i wykonana jest na kablu koncentrycznym i nie można stosować w niej wtyków RJ45. Można w niej pracować w sieci z prędkością 10 Mbit/s. To sieć starego typu – proponujemy wykonać nową sieć jako okablowanie strukturalne na kablach UTP lub FTP kategorii 5e lub 6, gdzie można pracować z prędkością do 1 Gbit/s. Jest to sieć w topologii gwiazdy hierarchicznej, dużo bardziej odpornej na zakłócenia i awarie.
Pomiary okablowania strukturalnego są jednym z niezbędnych warunków koniecznych do uzyskania 25 letniej gwarancji na system EmiterNet. Są one jednocześnie potwierdzeniem prawidłowego wykonania okablowania.
Tak, wypożyczamy miernik Lantek II-500 naszych Certyfikowanym Instalatorom. Można wykonywać pomiary do kat.6A.
Dla Systemu Okablowania Strukturalnego po pozytywnym przejściu procedury certyfikacji sieci wystawiamy certyfikat na 25 lat gwarancji systemowej.
Jeśli będzie Pani/Pan chciał wykonać instalację, to proszę o kontakt z naszym Działem Technicznym, który odpowie na wszelkie pytania dotyczące naszych produktów.
Posiadamy w ofercie gniazda RJ45 tzw. beznarzędziowe. Budując okablowanie z wykorzystaniem tych elementów nie potrzeba specjalnego narzędzia do terminowania. W przypadku wykorzystania pozostałych elementów, jest konieczne posiadanie narzędzia uderzeniowego typu LSA, które można nabyć w naszej firmie.
Najczęściej spotyka się pojęcie “minimalny promień gięcia przewodu” – jest to promień, poniżej którego nie powinno się wyginać przewodu, gdyż spowoduje to utratę jego parametrów lub uszkodzenie. Najczęściej minimalny promień przewodu podaje się jako wielokrotność jego średnicy np. dla przewodów UTP jest to 4D, dla przewodów STP 6D, a dla światłowodów w luźnej tubie 20D.
Przewody UTP/FTP nie są przeznaczone do bezpośredniego układania w tynku. Można je układać w rurkach (niezalecane) lub wykorzystując kanały kablowe PCV. To drugie rozwiązanie jest dużo bardziej elastyczne, ponieważ przy prawidłowym zaprojektowaniu pozwoli w przyszłości na rozbudowę okablowania.
W przypadku projektowania instalacji okablowania strukturalnego wewnątrz budynku nie są wymagane uprawnienia budowlane, podobnie zresztą jak do innych instalacji wewnątrzbudynkowych. Są to instalacje niskoprądowe, w związku z tym nie jest wymagane także świadectwo kwalifikacji elektrycznych (chyba, że jednocześnie będzie wykonywana instalacja elektryczna). Natomiast w przypadku wykonywania okablowania międzybudynkowego mogą być wymagane uprawnienia budowlane – stosowane są tu przepisy jak przy każdej tego typu budowie.
Do udostępnienia internetu potrzebny jest router. Jego typ jest zależny od dostawcy internetu. Najczęściej powinien być wyposażony w wejście RJ45 (router kablowy) lub RJ12 (router ADSL). Router może udostępnić sygnał sieci internetowej poprzez sieć bezprzewodową WiFi (najprościej) lub poprzez sieć przewodową (najlepiej).
Do sieci bezprzewodowej wystarczy “gdzieś” podłączyć router z siecią bezprzewodową standardu 802.11g lub 802.11n. Jednak to “gdzieś” ma znaczenie – zasięg sieci bezprzewodowych w budynkach to często kilka-kilkanaście metrów, dlatego też trzeba ją umiejętnie zaprojektować.
Sieć przewodowa zapewnia większą przepustowość (w sieci bezprzewodowej 802.11n jest to maksymalnie 300 Mbit/s łącznie dla wszystkich urządzeń, pracujących w sieci (dostęp współdzielony), a w sieci przewodowej np. 1 Gbit/s na każdym porcie), większe bezpieczeństwo i możliwość wykorzystania do różnych mediów (np. można przesyłać sygnał wideo, z kamer lub sygnały analogowe albo dźwięk).
Nie, oznacza że jest prostsza w realizacji i być może tańsza. Ale tańsze nie oznacza, że jest lepsza. Producenci często podają zasięg sieci bezprzewodowej “w otwartym terenie”, podczas gdy urządzenia są montowane wewnątrz budynków. Wówczas ich zasięg drastycznie spada, czasami nawet do kilku metrów, ponieważ sygnał jest tłumiony przez ściany. W dodatku w przypadku słabego sygnału spada także prędkość pracy. Prędkość jednego routera dostępowego pracującego w standardzie 802.11g to maksymalnie 56 Mbit/s (dla standardu 802.11n to teoretycznie 300 Mbit/s) i jest to prędkość współdzielona co oznacza, że jeśli dwa komputery jednocześnie chcą przesyłać pliki jak najszybciej, to prędkość każdego z nich będzie co najwyżej 56/2 Mbit/s, podczas gdy w standardzie 1000Base-T stosowanym w sieci przewodowej jest to 1000Mbit/s i to dla każdego komputera (przy zastosowaniu switcha). Ponadto np. w standardzie 802.11g w pobliżu siebie mogą pracować co najwyżej trzy routery i nie zakłócać się. A rozwiązanie to staje się coraz bardziej popularne. W przypadku kiedy w pobliżu siebie pracuje więcej routerów, to sygnały się zakłócają i routery nie będą pracowały wolniej.
Na koniec – sieć bezprzewodowa jest na ogół widoczna “poza budynkiem”, więc chociaż ryzyko włamania do takiej sieci (prawidłowo skonfigurowanej i zabezpieczonej) jest niewielkie, to jednak istnieje.
Na tą odpowiedź powinien dać producent kabla lub systemu okablowania strukturalnego, w którym taki kabel miałby być stosowany. Najczęściej jednak kable aluminiowe miedziowane nie spełnią standardu normy PN/EN 50173, a takie okablowanie nie przejdzie testów. Na ogół tanie kable nie przechodzą testów. Kable teleinformatyczne stosowane w Systemie Okablowania Strukturalnego EmiterNet są wykonane z wysokogatunkowej miedzi, są to tzw. kable typu “solid”.
Gniazda elektryczne oraz komputerowe EmiterNet są kompatybilne m.in. z produktami innych producentów według poniższego zestawienia.
Kompatybilność gniazd
W przypadku wątpliwości lub pytań prosimy o kontakt z Działem Technicznym.
Jeśli nie znaleźliście Państwo odpowiedzi na nurtujące Was pytania, prosimy o kontakt za pomocą poniższego formularza.
Więcej zagadnień (pytań i odpowiedzi) odnośnie produktów Divus znajdziecie Państwo tutaj

